Skip to main content
SleepCited

CBD Figures

17 figures from peer-reviewed research

All 5-HTP Apigenin Ashwagandha CBD GABA Holy Basil Iron Kava Lavender Magnesium Glycinate Melatonin Omega-3 Fatty Acids Passionflower Tryptophan Valerian Root Vitamin B6 Vitamin D Zinc
All Types Chart Diagram Photograph Flowchart Forest Plot Micrograph Other
Figure 1
Figure 1 Diagram

Developmental and epileptic encephalopathies involve severe drug-resistant epilepsy with significant neurodevelopmental comorbidities. This figure summarizes the psychobehavioural and cognitive adverse events associated with anti-seizure medications used to treat these rare childhood-onset syndromes.

Psychobehavioural and Cognitive Adverse Events of Anti-Seizure Medications for the Treatment of …

Figure 5
Figure 5 Chart

Overall quality assessment of commercial veterinary hemp supplements integrates cannabinoid accuracy, heavy metal safety, and terpene characterization. Substantial product-to-product variability underscores the need for standardized manufacturing.

Cannabinoid, Terpene, and Heavy Metal Analysis of 29 Over-the-Counter Commercial Veterinary Hemp …

Fig. 1 A Study procedures flow diagram. B Timing of dosing and measurements of endpoints
Figure 6 Flowchart

The study procedures flow diagram and dosing schedule illustrate participant progression through the open-label trial with randomization between cannabis, oxycodone, and combination arms.

Cannabis-opioid interaction in the treatment of fibromyalgia pain: an open-label, proof of …

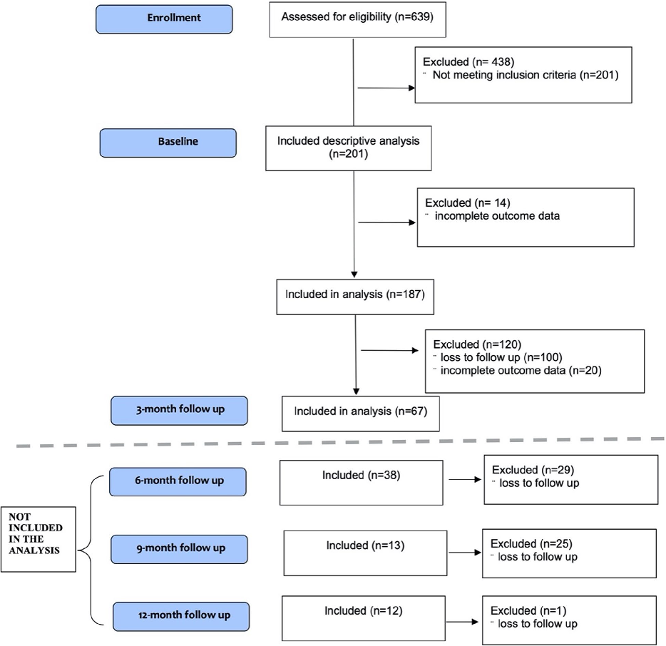
Fig. 1 CONSORT flow diagram. The flowchart of participants disposition throughout the study. CONSORT Consolidated Standards of Reporting Trials
Figure 6 Flowchart

Fig. 1 CONSORT flow diagram.

Medical cannabis authorization patterns, safety, and associated effects in older adults.

Fig. 2 Estimated difference in change from baseline between CBD-dominant and balanced product profiles
Figure 7 Chart

Fig. 2 Estimated difference in change from baseline between CBD-dominant and balanced product profiles

Medical cannabis authorization patterns, safety, and associated effects in older adults.

Figure 2
Figure 2

Possible Role of Cannabis in the Management of Neuroinflammation in Patients with …

Figure 3
Figure 3

Possible Role of Cannabis in the Management of Neuroinflammation in Patients with …

Figure 4
Figure 4

Possible Role of Cannabis in the Management of Neuroinflammation in Patients with …

Figure 5
Figure 5

Possible Role of Cannabis in the Management of Neuroinflammation in Patients with …

Figure 6
Figure 6

Possible Role of Cannabis in the Management of Neuroinflammation in Patients with …

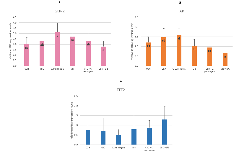
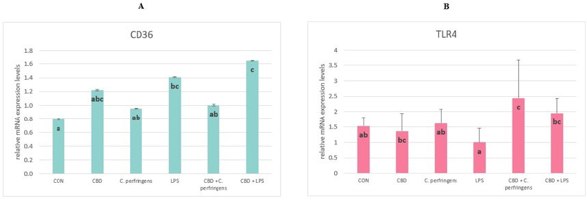
Figure 2
Figure 2

Interaction Between Peroxisome Proliferator-Activated Receptors and Cannabidiol in the Gut of Chickens …

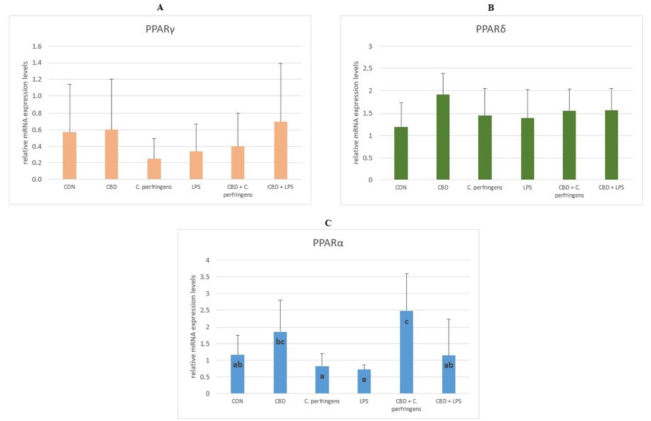
Figure 3
Figure 3

Interaction Between Peroxisome Proliferator-Activated Receptors and Cannabidiol in the Gut of Chickens …

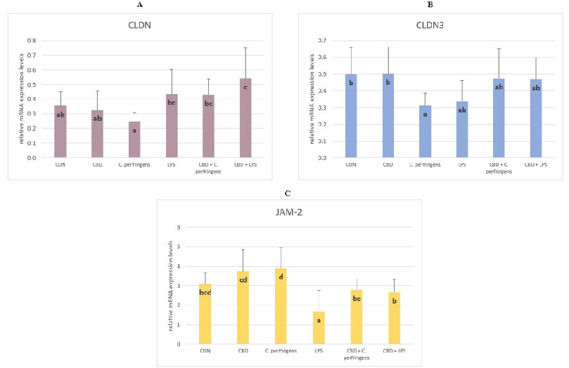
Figure 4
Figure 4

Interaction Between Peroxisome Proliferator-Activated Receptors and Cannabidiol in the Gut of Chickens …

Figure 5
Figure 5

Interaction Between Peroxisome Proliferator-Activated Receptors and Cannabidiol in the Gut of Chickens …

Figure 6. Serum fluorescein isothiocyanate-dextran (FITC-d) concentrations (µg/mL) in chickens fed control diets or CBD supplemented diet and as a result of E. coli LPS and C. perfringens challenge or no challenge. Significant differences are indicated by
Figure 6

Figure 6. Serum fluorescein isothiocyanate-dextran (FITC-d) concentrations (µg/mL) in chickens fed control diets or CBD supplemented diet and as a result of E. coli LPS and C. perfringens challenge or …

Interaction Between Peroxisome Proliferator-Activated Receptors and Cannabidiol in the Gut of Chickens …

Figure 7
Figure 7

Interaction Between Peroxisome Proliferator-Activated Receptors and Cannabidiol in the Gut of Chickens …

Figure 8
Figure 8

Interaction Between Peroxisome Proliferator-Activated Receptors and Cannabidiol in the Gut of Chickens …